Задать свой вопрос   *более 50 000 пользователей получили ответ на «Решим всё»

Задача 45113 ...

Условие

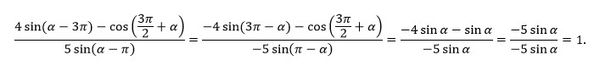
[block](4sin(α-3Pi)-cos(3Pi/2+α))/(5sin(α-Pi))[/block]

математика 10-11 класс 3302

Решение

Все решения

В силу нечетности синуса:
sin( α -3π)=-sin(3π- α )

Выделяем период 2π
sin(3π- α )=sin(2π+π- α )=sin(π- α )

По формулам приведения
sin(π- α )=sin α

[b]sin( α -3π)=-sin α [/b]


По формулам приведения
[b]cos((3π/2)+ α )=sin α [/b]

В силу нечетности синуса:
sin( α -π)=-sin(π- α )

По формулам приведения
sin(π- α )=sin α

[b]sin( α -π)=-sin α [/b]

[m]\frac{4sin(\alpha-3\pi)-cos(\frac{3\pi}{2}+\alpha)}{5sin(\alpha-\pi}=\frac{-4sin\alpha-sin\alpha}{-5sin\alpha}=\frac{-5sin\alpha}{-5sin\alpha}=1[/m]

Вопросы к решению (2)

Написать комментарий

Категории

Меню

Присоединяйся в ВК