Задать свой вопрос   *более 50 000 пользователей получили ответ на «Решим всё»

Задача 45086 ...

Условие

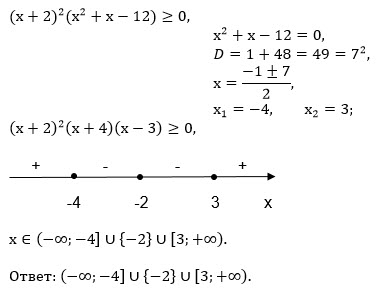
6. Найдите множество решений неравенства (x+2)²(x²+x-12) ≥ 0
1) [-4;3]
2) (-∞;-4]∪[3;∞)
3) (-∞;-4]∪{-2}∪[3;∞)
4) ∅.

математика 549

Решение

Ответ: 3)

Написать комментарий

Меню

Присоединяйся в ВК