Задать свой вопрос
*более 50 000 пользователей получили ответ на «Решим всё»
Задача 45056
Сократи...
Условие
vk233599101
2020-03-16 19:55:32
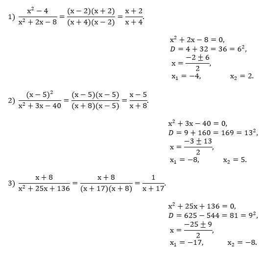
Сократи дроби
^(x^2)−4|^(x^2)+2x−8
(x−5)^(^2)|^(x^2)+3x−40
x+8|^(x2)+25x+136
математика 8-9 класс
1086
Решение
u821511235
2020-03-16 22:13:26
★
Написать комментарий
Меню
Решим всё
Найти задачу
Категории
Статьи
Тесты
Архив задач
Присоединяйся в ВК