Задать свой вопрос
*более 50 000 пользователей получили ответ на «Решим всё»
Задача 45016
...
Условие
333444555
2020-03-15 13:03:22
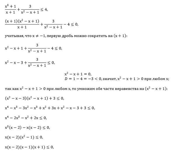
х^3+1/х+1 + 3/х^2-х+1 ≤ 4
предмет не задан
670
Все решения
u821511235
2020-03-15 16:52:19
Написать комментарий
Меню
Решим всё
Найти задачу
Категории
Статьи
Тесты
Архив задач
Присоединяйся в ВК