Задать свой вопрос
*более 50 000 пользователей получили ответ на «Решим всё»
Задача 44999
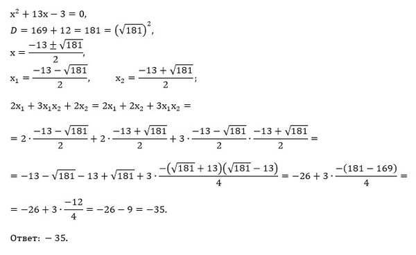
Найти значение выражения 2x1+3x2+5x1x2,...
Условие
nastasea
2020-03-13 16:36:02
Найти значение выражения 2x1+3x2+5x1x2, если x1 и x2 - корни уравнения x^2 + 13 x -2 = 0.
математика 8-9 класс
557
Все решения
u821511235
2020-03-14 06:38:26
Написать комментарий
Меню
Решим всё
Найти задачу
Категории
Статьи
Тесты
Архив задач
Присоединяйся в ВК