Задать свой вопрос
*более 50 000 пользователей получили ответ на «Решим всё»
Задача 44998
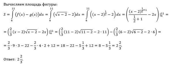
Под цифрой 2 нужно вычислить площадь...
Условие
vk391377750
2020-03-13 11:45:56
Под цифрой 2 нужно вычислить площадь фигуры, ограниченной линиями
математика 10-11 класс
651
Решение
u821511235
2020-03-13 13:45:08
★
Написать комментарий
Меню
Решим всё
Найти задачу
Категории
Статьи
Тесты
Архив задач
Присоединяйся в ВК