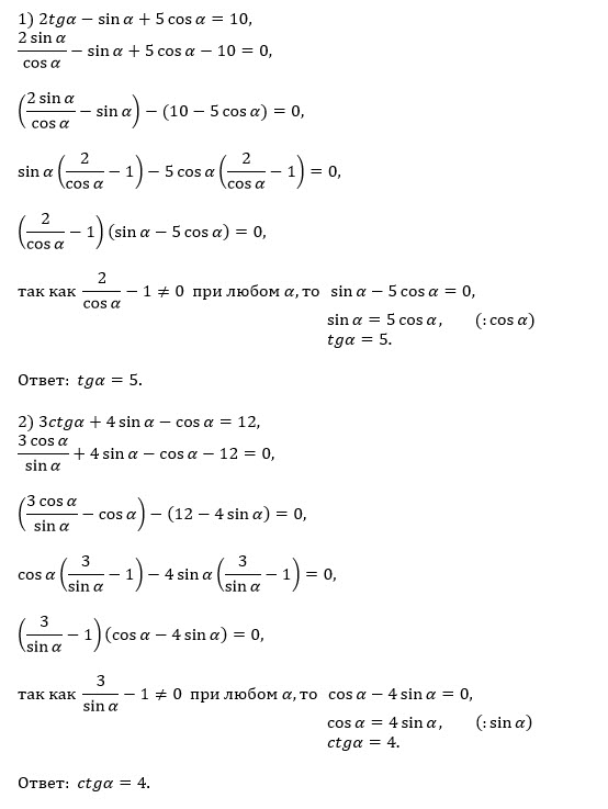
1) tgα, если 2 tgα - sinα + 5 cosα = 10;
2) ctgα, если 3 ctgα + 4 sinα - cosα = 12;
3) ctgα, если 2 tgα - sinα + 10 cosα = 20;
4) tgα, если 3 ctgα - 0,1 sinα - cosα = -0,3.

[m]sin \alpha \cdot(\frac{2}{cos \alpha}-1)-5cos \alpha\cdot(\frac{2}{cos \alpha}-1)=0[/m]
[m](\frac{2}{cos\alpha}-1)\cdot (tg\alpha-5)=[/m]
⇒
[m]tg \alpha-5=0[/m] ⇒
[m]tg \alpha=5 [/m] - это ответ
Остальное по образцу - САМОСТОЯТЕЛЬНО!