Задать свой вопрос   *более 50 000 пользователей получили ответ на «Решим всё»

Задача 44875 Найдите наименьшее значение функции...

Условие

Найдите наименьшее значение функции [Ларин 12]
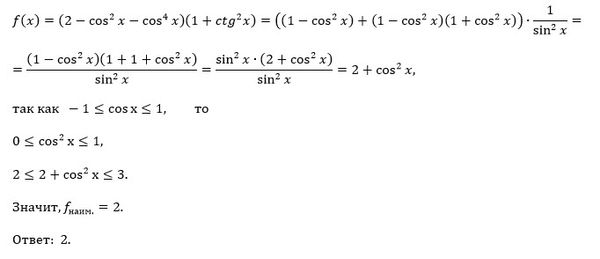
f(x) = (2-cos^2x-cos^4x)(1+ctg^2x)

математика 10-11 класс 1928

Решение

[m]1+сtg^2x=\frac{1}{sin^2x}[/m]

[m]f(x)=\frac{2-cos^2x-cos^4x}{sin^2x}[/m]

cos^2x=1-sin^2x

cos^4x=(1-sin^2x)^2=1-2sin^2x+sin^4x


[m]f(x)=\frac{2-1+sin^2x-1+2sin^2x-sin^4x}{sin^2x}[/m]

[m]f(x)=\frac{3sin^2x-sin^4x}{sin^2x}[/m]

[m]f(x)=3-sin^2x[/m]

Так как
[m]-1 ≤ sinx ≤ 1[/m]
и
[m]0 ≤ sin^2x ≤ 1[/m]

[m]-1 ≤- sin^2x ≤ 0[/m]
то
[m]3-1 ≤ 3-sin^2x ≤ 3+0[/m]

[m]2 ≤ 3-sin^2x ≤ 3[/m]

Наименьшее значение функции равно [b]2[/b]

О т в е т. [b]2[/b]






Все решения

Написать комментарий

Меню

Присоединяйся в ВК