Задать свой вопрос   *более 50 000 пользователей получили ответ на «Решим всё»

Задача 44840 ...

Условие

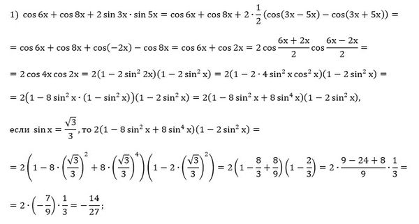
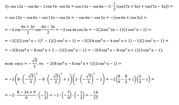
28.12. Найдите значение выражения:

1) cos6x + cos8x + 2sin3x ⋅ sin5x, если sinx = [m]\frac{\sqrt[3]}{3}[/m];

2) cos12x - cos6x - 2cos 7x ⋅ cos 5x, если сos x = [m]-\frac{\sqrt[3]}{3}[/m].

математика 8-9 класс 880

Решение

Написать комментарий

Меню

Присоединяйся в ВК