Задать свой вопрос   *более 50 000 пользователей получили ответ на «Решим всё»

Задача 44803 ...

Условие

ПОМОГИТЕ ПЖ
Найдите значение производной функции в точке x0:
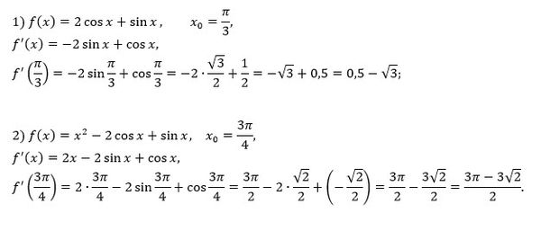
1)f(x)=2cosx+sinx, x0=π/3;
2)f(x)=x^2-2cosx+sinx, x0=3π/4

математика 10-11 класс 3865

Решение

Написать комментарий

Меню

Присоединяйся в ВК