Задать свой вопрос   *более 50 000 пользователей получили ответ на «Решим всё»

Задача 44720 Решите пожалуйста уравнение и отберите...

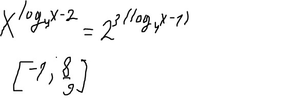
Условие

Решите пожалуйста уравнение и отберите корни из отрезка.

математика 577

Решение

Логарифмируем по основанию 4:

log_(4)x^(log_(4)x-2)=log_(4)2^(3log_(4)x-3)

(log_(4)x-2)*log_(4)x=3log_(4)x-3)*log_(4)2

(log_(4)x-2)*log_(4)x=3log_(4)x-3)*(1/2)

2log^2_(4)x-7log_(4)x+3=0

D=49-4*2*3=25

log_(4)x=1/2; x=2

log_(4)x=3; x=4^3=64

Ни один из корней не принадлежит указанному отрезку

Написать комментарий

Меню

Присоединяйся в ВК