Задать свой вопрос   *более 50 000 пользователей получили ответ на «Решим всё»

Задача 44716 Решите пожалуйста уравнение и отберите...

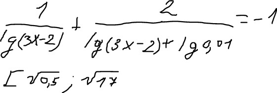
Условие

Решите пожалуйста уравнение и отберите корни.

математика 615

Решение

Замена переменной:
lg(3x-2)=t

[m]\frac{1}{t}+\frac{2}{t-2}=-1[/m]


[m]\frac{t-2+2t+t^2-2t}{t(t-2)}=0[/m]

[m]\frac{t^2+t-2}{t(t-2)}=0[/m]

[m]\frac{(t-1)(t+2)}{t(t-2)}=0[/m]

t=1; t=-2

lg(3x-2)=1
3x-2=10
x=4
принадлежит

lg(3x-2)=-2

3х-2=10^(-2)

3x=2+0,01

x=2,01/3

x=0,67 > sqrt(0,5)

принадлежит

Написать комментарий

Меню

Присоединяйся в ВК