Задать свой вопрос   *более 50 000 пользователей получили ответ на «Решим всё»

Задача 44714 Решите пожалуйста уравнение и отберите...

Условие

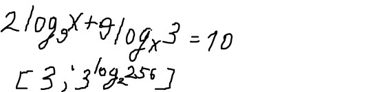
Решите пожалуйста уравнение и отберите корни из отрезка.

математика 616

Решение

log_(9)x=log_(3^2)x=(1/2)log_(3)x

log_(3)x+9log_(x)3=10

t+(9/t)=10

t ≠ 0

t^2-10t+9=0

t=1; t=9

log_(3)x=1
x=3 принадлежит

log_(3)x=9
x=3^(9)> 3^([b]8[/b]) не принадлежит

log_(2)256=log_(2)2^(8)=[b]8[/b]

Написать комментарий

Меню

Присоединяйся в ВК