Задать свой вопрос   *более 50 000 пользователей получили ответ на «Решим всё»

Задача 44713 Решите пожалуйста уравнение и отберите...

Условие

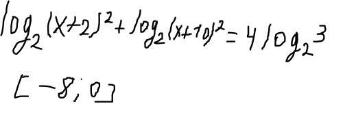
Решите пожалуйста уравнение и отберите корни из отрезка.

математика 634

Решение

Сумму логарифмов заменим логарифмом произведения.

И справа применяем свойство логарифма степени.

log_(2) (x+2)^2*(x+10)^2=log_(2)3^(4)

((x+2)*(x+10))^2=81

(x^2+12x+20)^2-9^2=0

(x^2+12x+20-9)*(x^2+12x+20+9)=0

x^2+12x+11=0
D=100
корни -1 и -11

-1 принадлежит указанному промежутку.

или

x^2+12x+29=0
D=144-4*29=144-116=28

x=-6 ± sqrt(7)
-6-sqrt(7) <-8 не принадлежит
-6+sqrt(7) < 0 принадлежит

[red]РS[/red]
Можно было применить свойство логарифма степени
и так
2log_(2)|x+2|+2log_(2)|x+10|=4log_(2)3
Делим на 2
log_(2)|x+2|+log_(2)|x+10|=2log_(2)3

И применяем свойство произведение логарифмов

log_(2)|x+2|*|x+10|=log_(2)9

|x+2|*|x+10|=9

Написать комментарий

Меню

Присоединяйся в ВК