Задать свой вопрос   *более 50 000 пользователей получили ответ на «Решим всё»

Задача 44710 Решите пожалуйста уравнение и отберите...

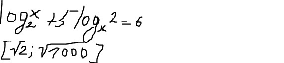
Условие

Решите пожалуйста уравнение и отберите корни из отрезка.

математика 612

Решение

log_(2)x=t

log_(x)2=1/t


t+(5/t)=6

t^2-6t+5=0

t=1 или t=5

log_(2)x=1;

x=2

log_(2)x=5

x=2^2=32

32^2=1024 > 1000

32 > sqrt(1000) и не принадлежит указанному промежутку, 2 принадлежит

Написать комментарий

Меню

Присоединяйся в ВК