Задать свой вопрос
*более 50 000 пользователей получили ответ на «Решим всё»
Задача 44633
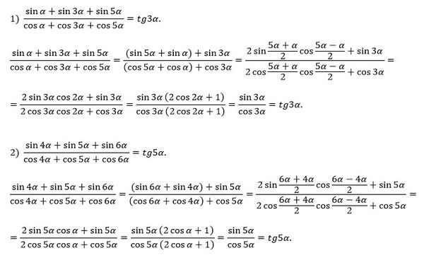
Задание на картинке...
Условие
vk173447317
2020-02-28 18:52:08
Задание на картинке
математика 8-9 класс
1228
Все решения
u821511235
2020-02-28 20:34:35
Написать комментарий
Меню
Решим всё
Найти задачу
Категории
Статьи
Тесты
Архив задач
Присоединяйся в ВК