Задать свой вопрос
*более 50 000 пользователей получили ответ на «Решим всё»
Задача 44624
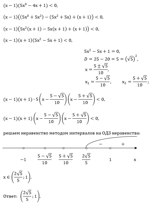
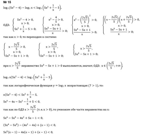
log7(5x^2-4)-log7x < log7(5x^2 + 1/x -...
Условие
vk207492402
2020-02-28 00:06:27
log7(5x^2-4)-log7x < log7(5x^2 + 1/x - 5)
предмет не задан
747
Все решения
u821511235
2020-02-28 12:56:34
Написать комментарий
Категория
ЕГЭ по Математике (проф.)
задание 15 (неравенство)
Меню
Решим всё
Найти задачу
Категории
Статьи
Тесты
Архив задач
Присоединяйся в ВК