Задать свой вопрос   *более 50 000 пользователей получили ответ на «Решим всё»

Задача 44612 Решите уравнение пожалуйста и отберите...

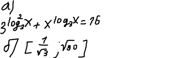
Условие

Решите уравнение пожалуйста и отберите корни.Заранее большое спасибо!

математика 656

Решение

3^(log^2_(3)x)=(3^(log_(3)x))^(log_(3)x)=x^(log_(3)x)


Уравнение принимает вид:
x^(log_(3)x)+x^(log_(3)x)=16

2(x^(log_(3)x))=16

(x^(log_(3)x))=8

Логарифмируем по основанию 3

[b]log_(3)[/b](x^(log_(3)x))=[b]log_(3)[/b]8

log_(3)x*(log_(3)x)=log_(3)8

(log_(3)x)^2=log_(3)8

Вопросы к решению (1)

Написать комментарий

Меню

Присоединяйся в ВК