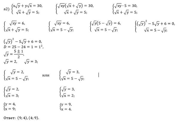
{x ≥ 0
{y ≥ 0
(x:y) в 1 и 3 четвертях
Из второго
sqrt(y)=5-sqrt(x)
Подставляем в первое:
x*(5-sqrt(x))-(5-sqrt(x))^2*sqrt(x)=30
(5-sqrt(x))*(x-5sqrt(x)+x)=30
(5-sqrt(x))*(2x-5sqrt(x))=30
sqrt(x)=t
x=t^2
(5-t)*(2t^2-5t)=30
10t^2-2t^3-25t+5t^2-30=0
[b]2t^3-15t^2+25t+30=0[/b]
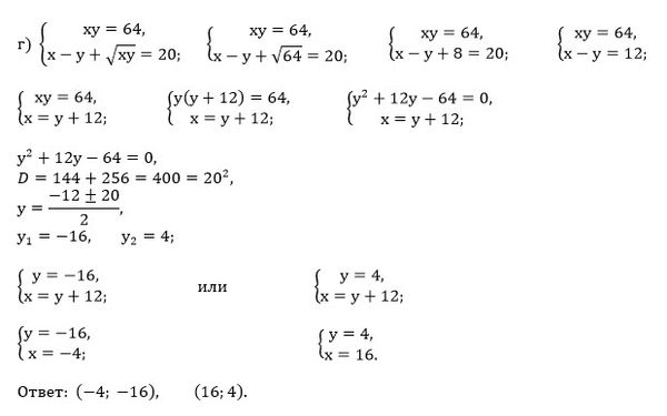
б)
Замена
x-y=u
sqrt(xy)=v
xy ≥ 0 ⇒ (x;y) в первой или третьей четверти
v ≥ 0
{v^2=64 ⇒ v=8
{u+v=20 ⇒ u=12
sqrt(xy)=8
{xy=64
{x-y=12 ⇒ y=x-12
x*(x-12)=64
x^2-12x-64=0
D=144+256=400
x_(1)=(12+20)/2=16; x_(2)=(12-20)/2=-4
y_(1)=12; y_(2)=-4-12=-16
x_(1)*y_(1) >0
x_(2)*y_(2)>0
О т в е т. (-4;-16);(16;4)

