Задать свой вопрос
*более 50 000 пользователей получили ответ на «Решим всё»
Задача 44592
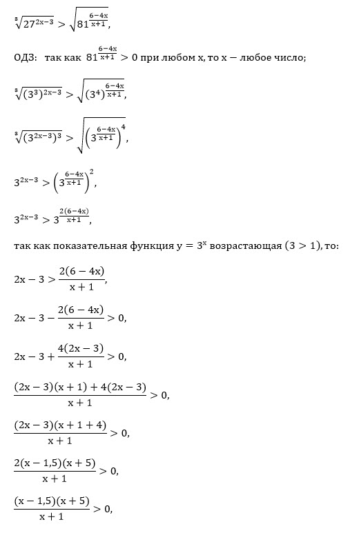
[m]\sqrt[3]{27^{2x-3}} >...
Условие
slava191
2020-02-27 00:43:55
[m]\sqrt[3]{27^{2x-3}} > \sqrt{81^{\frac{6-4x}{x+1}}}[/m]
математика 10-11 класс
3359
Решение
u821511235
2020-02-27 07:52:24
★
Написать комментарий
Меню
Решим всё
Найти задачу
Категории
Статьи
Тесты
Архив задач
Присоединяйся в ВК