Задать свой вопрос   *более 50 000 пользователей получили ответ на «Решим всё»

Задача 44573 Система. Объясните метод решения, а не...

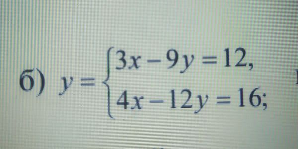
Условие

Система. Объясните метод решения, а не просто напишите его, пожалуйста.

предмет не задан 610

Решение

Во-первых упростить
Первое уравнение разделить на 3, второе на 4

{x-3y=4
{x-3y=4

Это одно и то же уравнение.

Уравнение ax+by=c определяет прямую на плоскости.

Прямые, в первом и втором уравнениях, совпадают. А значит система уравнений имеет бесчисленное множество точек

Написать комментарий

Меню

Присоединяйся в ВК