Задать свой вопрос   *более 50 000 пользователей получили ответ на «Решим всё»

Задача 44540 Решите пожалуйста неравенство ! Заранее...

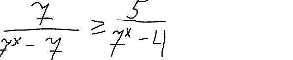
Условие

Решите пожалуйста неравенство ! Заранее спасибо.

математика 499

Решение

Замена:
7^(x)=t

Так как множество значений показательной функции положительно, то
t>0

[m]\frac{7}{t-7}\geq \frac{5}{t-4}[/m]

[m]\frac{7}{t-7}-\frac{5}{t-4}\geq 0 [/m]

[m]\frac{7\cdot(t-4)-5\cdot (t-7)}{(t-7)(t-4)}\geq 0[/m]

[m]\frac{7t-28-5t+35}{(t-7)(t-4)}\geq 0[/m]

[m]\frac{2t+7}{(t-7)(t-4)}\geq 0[/m]

__-__ [-3,5] __+__ (4) _-___ (7) __+__

с учетом t >0

(0;4)U(7;+ ∞ )

0 < 7^(x) <4 или 7^(x) > 7

x <log_(7)4 или x >1

О т в е т. (- ∞ ;log_(7)4) U(1;+ ∞ )

Написать комментарий

Меню

Присоединяйся в ВК