Задать свой вопрос
*более 50 000 пользователей получили ответ на «Решим всё»
Задача 44535
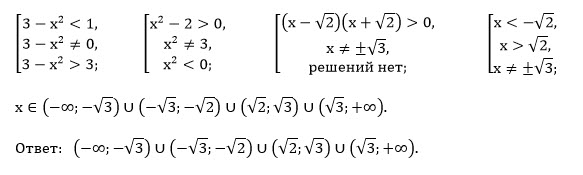
Решите пожалуйста неравенство ! Заранее...
Условие
vk288952222
2020-02-25 12:14:54
Решите пожалуйста неравенство ! Заранее спасибо.
математика
530
Решение
u821511235
2020-02-25 13:50:41
★
Написать комментарий
Меню
Решим всё
Найти задачу
Категории
Статьи
Тесты
Архив задач
Присоединяйся в ВК