Задать свой вопрос
*более 50 000 пользователей получили ответ на «Решим всё»
Задача 44531
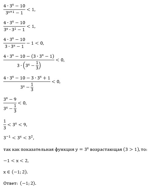
Решите пожалуйста неравенство ! Заранее...
Условие
vk288952222
2020-02-25 12:09:36
Решите пожалуйста неравенство ! Заранее спасибо.
математика
529
Решение
u821511235
2020-02-25 14:07:52
★
Написать комментарий
Меню
Решим всё
Найти задачу
Категории
Статьи
Тесты
Архив задач
Присоединяйся в ВК