б) Найдите его решения, принадлежащие промежутку [-2π; π/2].
cos( α - β )=cos α cos β +sin α sin β
[b]знать[/b] значения тригонометрических функций
cos(π/4)=sin(π/4)=sqrt(2)/2
Уметь выполнять преобразования
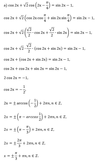
Уравнение примет вид:
cos2x+cos2x+sin2x=sin2x-1
2cos2x=-1
cos2x=-1/2
Простейшее уравнение вида:
cosx=a
Решаем по формуле:
х= ± arccos(-1/2)+2πn, n ∈ Z
Уметь решать простейшие уравнения
Знать как найти arccos
