Задать свой вопрос   *более 50 000 пользователей получили ответ на «Решим всё»

Задача 445 Внутри тележки массой 4m, находящейся на...

Условие

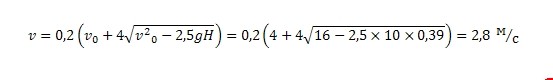
Внутри тележки массой 4m, находящейся на горизонтальной поверхности, имеется гладкий плавный канал. Выходное отверстие канала расположено на 39 см выше входного. Изначально тележка покоится. В нижнее отверстие со скоростью 4 м/c влетает маленький шарик, имеющий массу m и вылетает горизонтально с противоположной стороны из верхнего отверстия. Определите скорость шарика на вылете. Ускорение свободного падения g=10 м/c2.

физика 10-11 класс 3330

Решение



Ответ: 2.8 М/c

Все решения

Написать комментарий

Меню

Присоединяйся в ВК