Задать свой вопрос
*более 50 000 пользователей получили ответ на «Решим всё»
Задача 44469
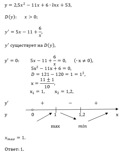
найдите точку максимума функции...
Условие
anka52
2020-02-23 13:41:49
найдите точку максимума функции у=2,5х2-11х+6*lnx+53
математика 10-11 класс
1984
Все решения
u821511235
2020-02-23 14:45:42
Написать комментарий
Меню
Решим всё
Найти задачу
Категории
Статьи
Тесты
Архив задач
Присоединяйся в ВК