Задать свой вопрос
*более 50 000 пользователей получили ответ на «Решим всё»
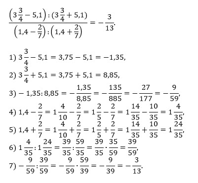
Задача 44467
Помогите,пожалуйста!! Простите,пожалуйста,за...
Условие
prostite
2020-02-23 13:22:18
Помогите,пожалуйста!!
Простите,пожалуйста,за качество,но все видно.
математика 6-7 класс
474
Решение
u821511235
2020-02-23 14:30:52
★
Написать комментарий
Меню
Решим всё
Найти задачу
Категории
Статьи
Тесты
Архив задач
Присоединяйся в ВК