Задать свой вопрос
*более 50 000 пользователей получили ответ на «Решим всё»
Задача 44363
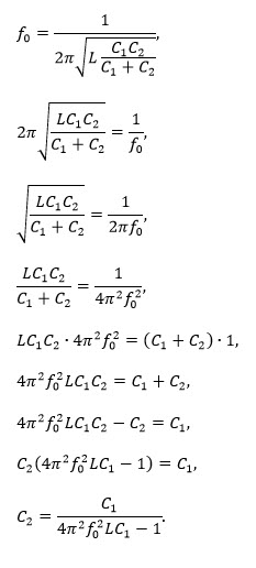
Выведите, пожалуйста, [m]с_2[/m] ...
Условие
clown
2020-02-19 06:37:09
Выведите, пожалуйста, [m]с_2[/m]
математика
457
Решение
u821511235
2020-02-19 07:12:03
★
Написать комментарий
Меню
Решим всё
Найти задачу
Категории
Статьи
Тесты
Архив задач
Присоединяйся в ВК