Задать свой вопрос   *более 50 000 пользователей получили ответ на «Решим всё»

Задача 44347 Найдите произведение целых значений...

Условие

Найдите произведение целых значений [tex]x[/tex], принадлежащих промежутку [tex](-5;4)[/tex].

математика ВУЗ 1063

Решение

a ≥ 0

x ≥ 0

sqrt(a)-sqrt(x) ≠ 0 ⇒ sqrt(x) ≠sqrt(a) ⇒ x≠a

При x=0

[m]\frac{a–\sqrt{0}}{\sqrt{a}–\sqrt{0}}=\frac{a}{\sqrt{a}}[/m] ⇒ a≠0

⇒ x ≠ 0

Получаем, что [red]x >0[/red] и [green] a>0[/green]
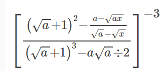
Упростим выражение:

[m]\frac{a–\sqrt{ax}}{\sqrt{a}–\sqrt{x}}=\frac{\sqrt{a}\cdot(\sqrt{a}–\sqrt{x}}{\sqrt{a}–\sqrt{x}}=\sqrt{a}[/m]


Выражение не зависит от х:

[m](\frac{a+\sqrt{a}+1}{3a+3})^{-3}=\frac{27(a+1)^3}{(a+\sqrt{a}+1)^3}[/m]

так как

[m](\sqrt{a}+1)^{2}-\sqrt{a}=a+2\sqrt{a}+1-\sqrt{a}=a+\sqrt{a}+1[/m]

[m](\sqrt{a}+1)^{3}–a\sqrt{a}+2=a\sqrt{a}+3a+3 \sqrt{a}+1-a\sqrt{a}+2=3a+3\sqrt{a}+3[/m]

[m](\frac{a+\sqrt{a}+1}{3a+3\sqrt{a}+3})^{-3}=\frac{27(a+\sqrt{a}+1)^3}{(a+\sqrt{a}+1)^3}=27[/m] - получилось число , которое не зависит ни от х, ни от а

Но поскольку x > 0, то ответ на вопрос:

"Найдите произведение целых значений х, принадлежащих промежутку (-5;4)"

такой:

[b]Это x>0 и принадлежащие промежутку (-5;4)[/b]

x=1;2;3;

Произведение 1*2*3

О т в е т. [b]1*2*3=6[/b]

Вопросы к решению (1)

Написать комментарий

Меню

Присоединяйся в ВК