Задать свой вопрос   *более 50 000 пользователей получили ответ на «Решим всё»

Задача 44291 Перемножив квадратные трёхчлены:...

Условие

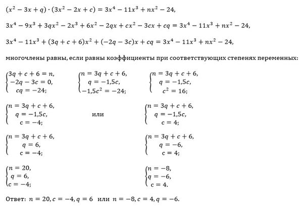
Перемножив квадратные трёхчлены: (x)^2-3x+q и 3x^(2)-2x+c, получили многочлен стандартного вида:3x^(4)-11x^(3)+nx^(2)-24. Найдите коэффициенты: x, c и q.

математика 8-9 класс 712

Решение

Написать комментарий

Меню

Присоединяйся в ВК