Задать свой вопрос   *более 50 000 пользователей получили ответ на «Решим всё»

Задача 4423 Сократите дробь 10*2^(n) / (2^(n+1) +...

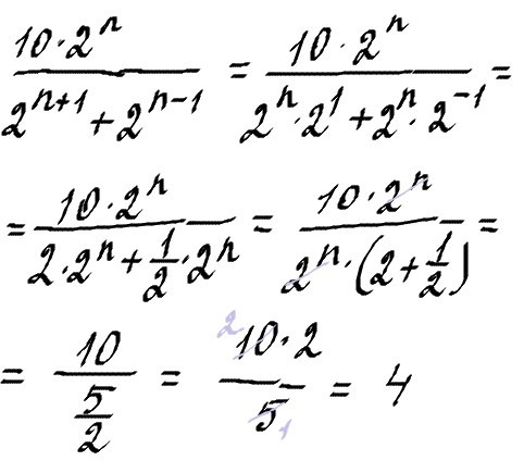
Условие

Сократите дробь 10*2^(n) / (2^(n+1) + 2^(n-1))

математика 8-9 класс 26862

Решение



Ответ: 4

Вопросы к решению (2)

Написать комментарий

Меню

Присоединяйся в ВК