Задать свой вопрос   *более 50 000 пользователей получили ответ на «Решим всё»

Задача 44173 Найдите значение выражения...

Условие

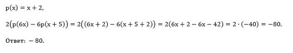
Найдите значение выражения 2(p(6x)-6p(x+5)), если p(x)=x+2.

математика 10-11 класс 49757

Решение

Все решения

p([b]x[/b])=[b]x[/b]+2

Найдем
p(6x) и p(x+5)

p([b]6x[/b])=[b]6x[/b]+2

p([b]x+5[/b])=[b]x+5[/b]+2=x+7

Тогда

2*(p([b]6x[/b])-6p([b]x+5[/b]))=2*(6x+2-6*(x+7))=2*(6x+2-6x-42)=2*(-40)=-80

О т в е т. -80

Написать комментарий

Меню

Присоединяйся в ВК