Задать свой вопрос
*более 50 000 пользователей получили ответ на «Решим всё»
Задача 44172
...
Условие
slava191
2020-02-13 00:21:54
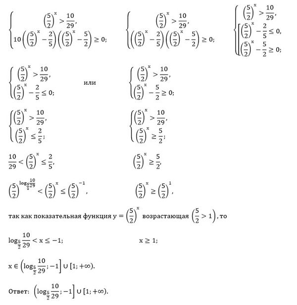
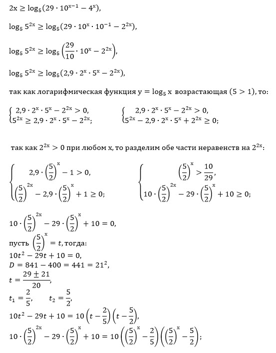
Решите неравенство 2x ≥ log5(29*10^(x-1)-4^x) _([вар-3])
математика 10-11 класс
21461
Решение
u821511235
2020-02-13 08:59:55
★
Написать комментарий
Меню
Решим всё
Найти задачу
Категории
Статьи
Тесты
Архив задач
Присоединяйся в ВК