Задать свой вопрос   *более 50 000 пользователей получили ответ на «Решим всё»

Задача 44129 4 уравнения. (два под одной буквой - з)...

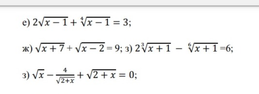
Условие

4 уравнения. (два под одной буквой - з)

предмет не задан 511

Решение

[b]e)[/b] Квадратное уравнение.

2t^2+t-3=0

Замена переменной:
[m]\sqrt[4]{x-1}=t[/m]

[m]\sqrt{x-1}=t^2[/m]

2t^2+t-3=0

[b]ж)[/b]Умножаем на сопряженное

(х+7)-(х-2)=9*(sqrt(x+7)-sqrt(x-2))

Получим два уравнения:
sqrt(x+7)+sqrt(x-2)=9

sqrt(x+7)-sqrt(x-2)=1

2sqrt(x+7)=10

sqrt(x+7)=5

x+7=25

x=18

з) Квадратное:
2t^2-t=6

з)

[m]\sqrt{x}=\frac{4}{\sqrt{x+2}}+\sqrt{x+2}[/m]

[m]\sqrt{x}=\frac{4+(x+2)}{\sqrt{x+2}}[/m]

Пропорция.

Перемножаем крайние и средние члены пропорции:

sqrt(x)*sqrt(x+2)=4+(x+2)

возводим в квадрат

x*(x+2)=36+12x+x^2

10x=-36

x=-3,6

Нужна проверка, так как возводили в квадрат и могли появиться посторонние корни.

Написать комментарий

Меню

Присоединяйся в ВК