Задать свой вопрос   *более 50 000 пользователей получили ответ на «Решим всё»

Задача 44126 Высота равностороннего треугольника...

Условие

Высота равностороннего треугольника равна 6. Найдите его площадь, деленную на корень из 3.

математика 8-9 класс 33274

Решение

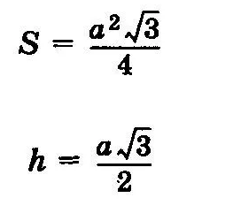
h=asqrt(3)/2

asqrt(3)/2=6

a=12/sqrt(3)

[b]a=4sqrt(3)[/b]


S=a^2sqrt(3)/4

S=(4sqrt(3))^2*sqrt(3)/4=12sqrt(3)

О т в е т. S/sqrt(3)=[b]12[/b]

Написать комментарий

Меню

Присоединяйся в ВК