

sqrt(5-x)-sqrt(1-x)
Получим
5-x-(1-x)=2*(sqrt(5-x)-sqrt(1-x))
4=2*(sqrt(5-x)-sqrt(1-x))
2=sqrt(5-x)-sqrt(1-x)
Два уравнения
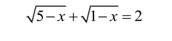
sqrt(5-x)+sqrt(1-x)=2
sqrt(5-x)-sqrt(1-x)=2
Cкладываем:
2sqrt(5-x)=4
sqrt(5-x)=2
5-x=4
x=5-4
x=1
Проверка: