Задать свой вопрос   *более 50 000 пользователей получили ответ на «Решим всё»

Задача 44107 3 задания....

Условие

3 задания.

предмет не задан 532

Решение

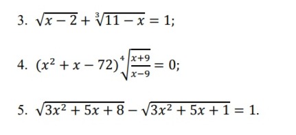
3.

ОДЗ: х-2 ≥ 0 ⇒ х ≥ 2

Замена
sqrt(x-2)=u ⇒ x-2=u^2 ⇒ x=u^2+2

∛(11-x)=v ⇒ 11-x=v^3 ⇒ x=11-v^3

Приравниваем правые части

u^2+2=11-v^3

Cистема:
{u+v=1
{u^2+2=11-v^3


4.

Произведение двух множителей равно 0 когда[b] хотя бы[/b] один из них равен 0, а другой не теряет смысла

Первый множитель:

x^2+x-72=0
При этом
[m]\frac{x+9}{x-9} ≥ 0[/m]


Второй множитель :

[m]\sqrt[4]{\frac{x+9}{x-9}} = 0[/m]

Решаем систему:
{x^2+x-72=0 ⇒ x=8 или x=-9

{[m]\frac{x+9}{x-9} ≥ 0[/m] при x=8 неверно, при х=-9 верно.

Решаем уравнение

x+9=0 ⇒ x=-9

О т в е т. -9

5.
Замена

3x^2+5x+1=u
3x^2+5x+8=u+7

sqrt(u+7)-sqrt(u)=1

sqrt(u+7)=1-sqrt(u)

Возводим в квадрат два раза.

Обязательна проверка


Можно умножить на сопряженное, как уравнение

sqrt(u+7)-sqrt(u)=1

Так и исходное уравнение

(3x^2+5x+8)-(3x^2+5x+1)=sqrt(3x^2+5x+8)+sqrt(3x^2+5x+1)

sqrt(3x^2+5x+8)+sqrt(3x^2+5x+1)=7

Cкладываем:
sqrt(3x^2+5x+8)-sqrt(3x^2+5x+1)=1
и
sqrt(3x^2+5x+8)+sqrt(3x^2+5x+1)=7

2sqrt(3x^2+5x+8)=8

sqrt(3x^2+5x+8)=4

Возводим в квадрат, находим корни и делаем проверку

Написать комментарий

Меню

Присоединяйся в ВК