Задать свой вопрос   *более 50 000 пользователей получили ответ на «Решим всё»

Задача 44088 а) Решите уравнение...

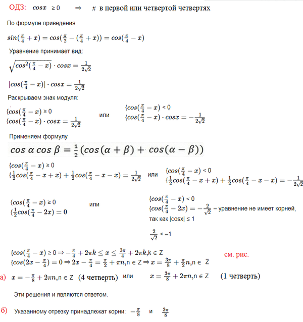
Условие

а) Решите уравнение sqrt(sin((Pi/4)+x)cos((Pi/4)-x))*cosx = 1/(2sqrt(2))

б) Укажите корни этого уравнения, принадлежащие отрезку [-Pi/4; Pi]

математика 10-11 класс 14631

Решение

Написать комментарий

Категория

Меню

Присоединяйся в ВК