Задать свой вопрос   *более 50 000 пользователей получили ответ на «Решим всё»

Задача 44046 Упростите выражение c - 3 / c - c^2 - 9...

Условие

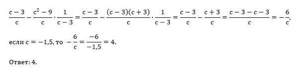
Упростите выражение c - 3 / c - c^2 - 9 / c / c - 3 / 1 и найдите его значение при c = -1,5. В ответе запишите найденное значение.

предмет не задан 736

Все решения

Написать комментарий

Меню

Присоединяйся в ВК