Задать свой вопрос
*более 50 000 пользователей получили ответ на «Решим всё»
Задача 44014
...
Условие
vk464105600
2020-02-06 19:16:13
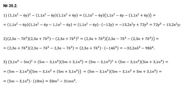
35.2.
2) (2,3a - 7b³)(2,3a + 7b³) - (2,3a + 7b³)²;
математика 6-7 класс
578
Все решения
u821511235
2020-02-06 22:43:36
Написать комментарий
Меню
Решим всё
Найти задачу
Категории
Статьи
Тесты
Архив задач
Присоединяйся в ВК