Задать свой вопрос   *более 50 000 пользователей получили ответ на «Решим всё»

Задача 44013 Дорешать задание. Только под буквой г)...

Условие

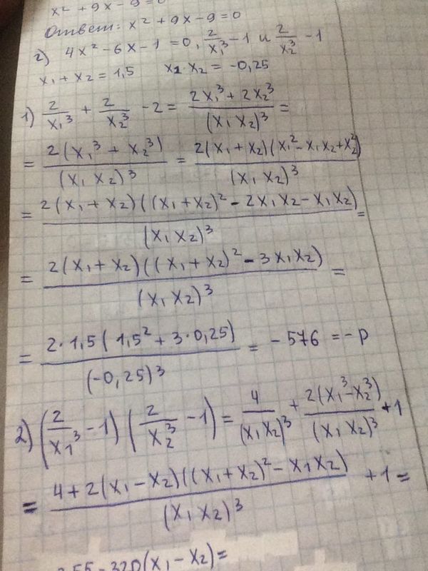
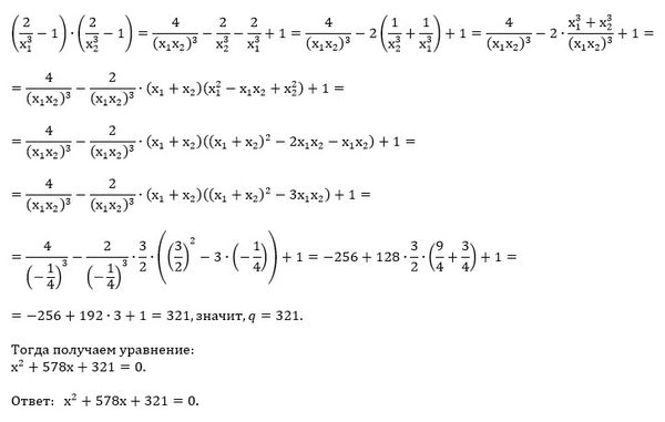
Дорешать задание. Только под буквой г) вторую часть (найти q по теореме Виета не получается). Может быть ошибка и в нахождении -p? (Смотреть фото)

математика 712

Решение

Написать комментарий

Меню

Присоединяйся в ВК