Задать свой вопрос   *более 50 000 пользователей получили ответ на «Решим всё»

Задача 44006 ...

Условие

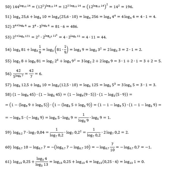
50. 144^(log₁₂ 14)

51. log₄ 25,6 + log₄ 10.

52. 3^(4 + log₃ 6)

53. 2^(2 + log₄ 121)

54. log₃ 81 + log₃ 1/9

55. log₄ 8 + log9 81.

56. 42/5^(log₅ 7)

57. log₅ 12,5 + log₅ 10.

58. (1 - log₉ 45) · (1 - log₅ 45).

59. log₀,₂ 7 · log₇ 0,04.

60. log₀,₇ 10 - log₀,₇ 7.

61. log₁₃ 0,25 + log₃ 4 / log₃ 13

математика 10-11 класс 941

Решение

Написать комментарий

Меню

Присоединяйся в ВК