Задать свой вопрос   *более 50 000 пользователей получили ответ на «Решим всё»

Задача 44005 4. Решить уравнение методом...

Условие

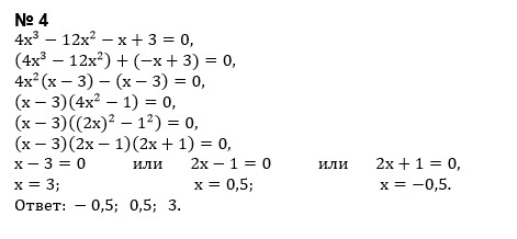
4. Решить уравнение методом разложения [m]4x^3 - 12x^2 - x + 3 = 0.[/m] [3]

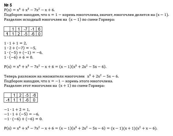
5. Используя схему Горнера, найти корни многочлена [m]x^4 + x^3 - 7x^2 - x + 6[/m] [5]

математика 10-11 класс 550

Решение

Написать комментарий

Меню

Присоединяйся в ВК