Задать свой вопрос
*более 50 000 пользователей получили ответ на «Решим всё»
Задача 43990
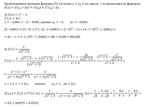
Здравствуйте нужна найти приближенные...
Условие
cmaruh
2020-02-05 10:51:25
Здравствуйте нужна найти приближенные значения следующих функций подробно
предмет не задан
515
Решение
u821511235
2020-02-05 22:00:06
★
Написать комментарий
Меню
Решим всё
Найти задачу
Категории
Статьи
Тесты
Архив задач
Присоединяйся в ВК