Задать свой вопрос   *более 50 000 пользователей получили ответ на «Решим всё»

Задача 43981 Даны вершины тетраэдра A(0; -2; -4),...

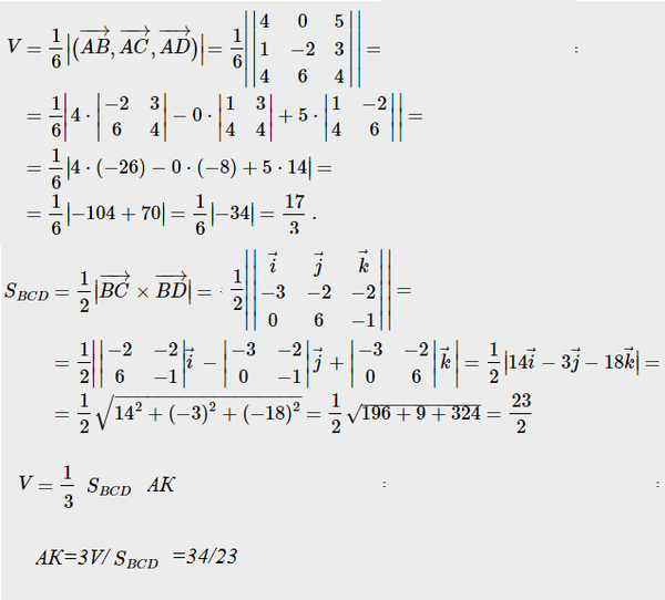
Условие

Даны вершины тетраэдра A(0; -2; -4), B(4; -2; 1), C(1; -4; -1), D(4; 4; 0). Найти длину его высоты, опущенной из вершины A.

математика ВУЗ 2471

Решение

Написать комментарий

Меню

Присоединяйся в ВК