Задать свой вопрос
*более 50 000 пользователей получили ответ на «Решим всё»
Задача 43948
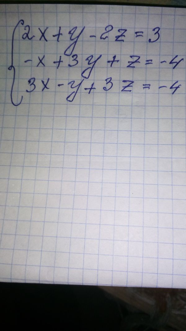
Помогите решить пожайлуста подробно ...
Условие
vk280770680
2020-02-04 16:17:22
Помогите решить пожайлуста подробно методом Гауса )без дробей)
математика
481
Решение
sova
2020-02-04 17:52:54
★
Написать комментарий
Меню
Решим всё
Найти задачу
Категории
Статьи
Тесты
Архив задач
Присоединяйся в ВК