Задать свой вопрос   *более 50 000 пользователей получили ответ на «Решим всё»

Задача 43911 Задание на картинке...

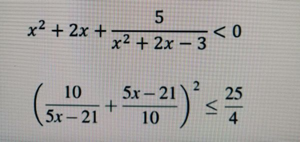
Условие

Задание на картинке

математика 10-11 класс 9057

Все решения

[i]Замена переменной[/i]:
x^2+2x=t

[m]t+\frac{5}{t-3}<0[/m]


[m]\frac{t^2-3t+5}{t-3}<0[/m]

t^2-3t+5 > 0 при любом t, так как D=9-4*5<0

t-3 < 0

x^2+2x-3 < 0

(x-1)(x+3) <0

___ (-3) __[green]-[/green]__ (1) ____

О т в е т. (-3;1)

[i]Замена переменной[/i]:

[m]\frac{10}{5x-21}=t[/m] ⇒

[m]\frac{5x-21}{10}=\frac{1}{t}[/m]

[red]t ≠ 0[/red]

[m](t+\frac{1}{t})^2\leq \frac{25}{4}[/m]

[m](t+\frac{1}{t})^2-\frac{25}{4}\leq 0[/m]

Применяем формулу a^2-b^2=(a-b)(a+b)

[m](t+\frac{1}{t}-\frac{5}{2})(t+\frac{1}{t}+\frac{5}{2})\leq 0[/m] ⇒

[red]t ≠ 0[/red]

(2t^2-5t+2)[blue](2t^2+5t+2)[/blue] ≤ 0

(2t-1)(t-2)*[blue](2t+1)(t+2)[/blue] ≤ 0

__+__ [-2] _-_ [-1/2] __+__ [1/2] _-_ [2] _+__


[b]-2 ≤ t ≤ -1/2[/b] или [b] 1/2 ≤ t ≤ 2[/b]

-2 ≤ [m]\frac{10}{5x-21}[/m]≤ -1/2 или 1/2 ≤ [m]\frac{10}{5x-21}[/m] ≤ 2

Двойное неравенство равносильно системе неравенств:

1)
{ [m]\frac{10}{5x-21}[/m]≤ -1/2
{ [m]\frac{10}{5x-21}[/m] ≥ 2

или

2)
{ [m]\frac{10}{5x-21}[/m]≤2
{ [m]\frac{10}{5x-21}[/m] ≥1/ 2


Решаем каждую систему и получаем ответ

Написать комментарий

Меню

Присоединяйся в ВК