Задать свой вопрос
*более 50 000 пользователей получили ответ на «Решим всё»
Задача 43881
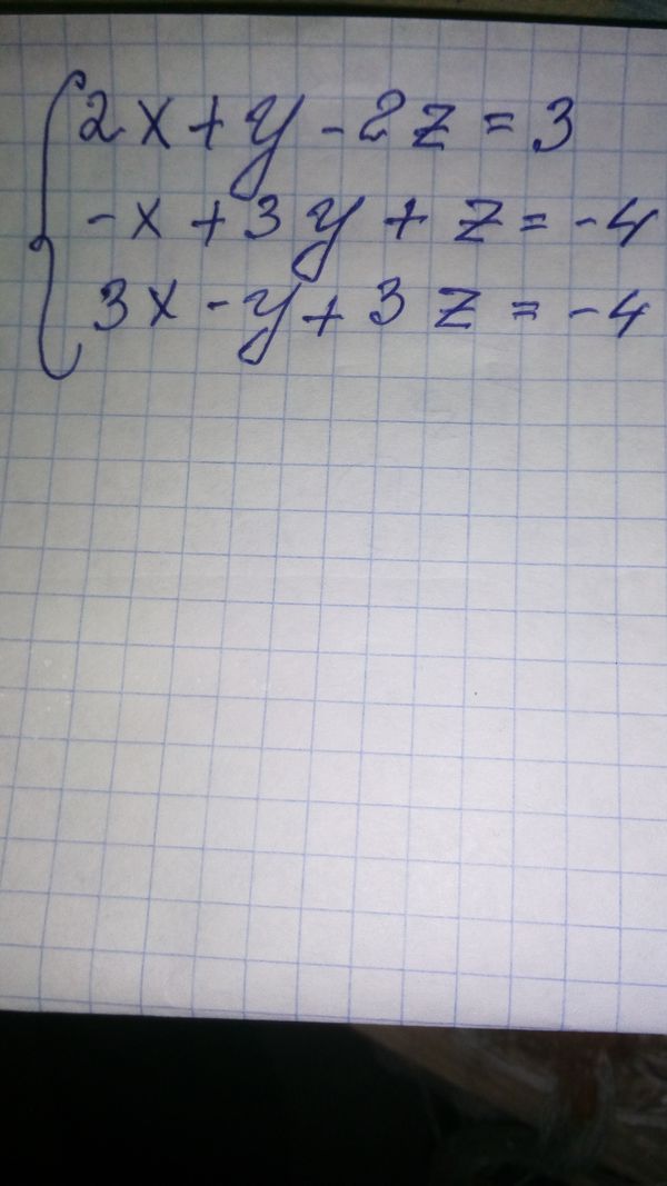
помогите решить срочно пожалуйста....
Условие
vk280770680
2020-02-01 18:14:36
помогите решить срочно пожалуйста. Методом Крамера с проверкой и подробно
математика
498
Решение
sova
2020-02-01 18:26:00
★
Написать комментарий
Меню
Решим всё
Найти задачу
Категории
Статьи
Тесты
Архив задач
Присоединяйся в ВК