Задать свой вопрос
*более 50 000 пользователей получили ответ на «Решим всё»
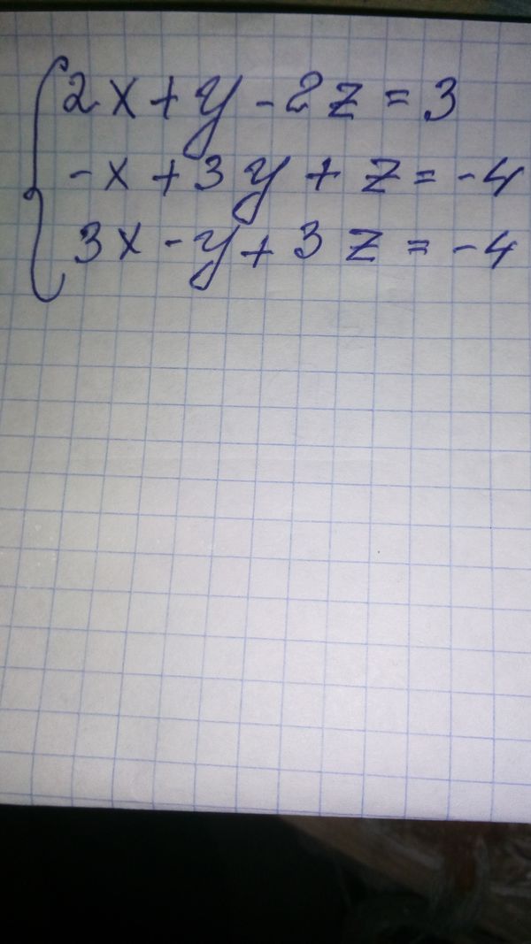
Задача 43867
Помогите решить . методом Крамера С...
Условие
vk492803606
2020-01-31 19:11:34
Помогите решить . методом Крамера С проверкой и полным решением
математика
556
Решение
sova
2020-02-01 18:48:23
★
Написать комментарий
Меню
Решим всё
Найти задачу
Категории
Статьи
Тесты
Архив задач
Присоединяйся в ВК